政府信息公开
其他|其他

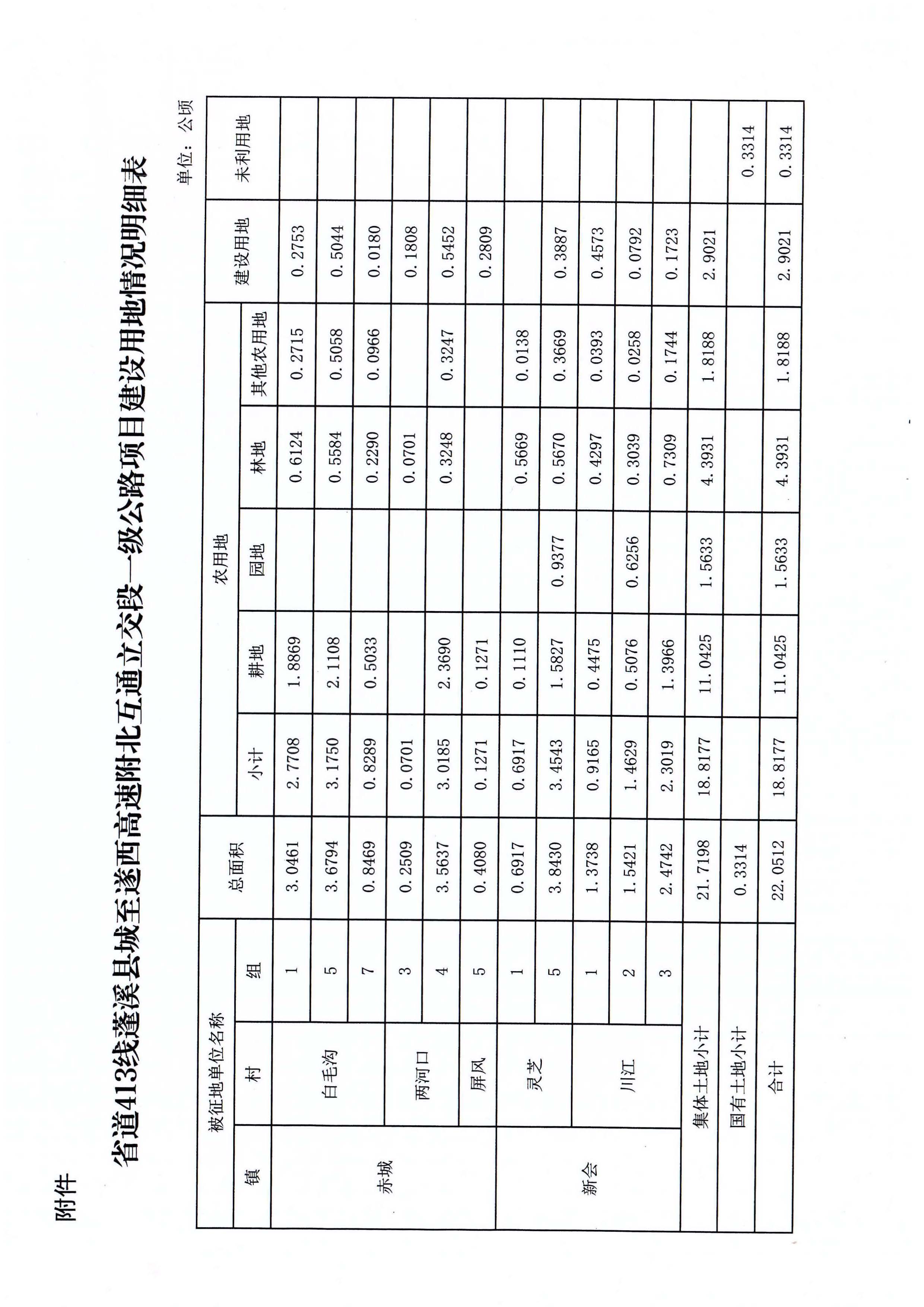
四川省人民政府关于省道413线蓬溪县城至遂西高速附北互通立交段一级公路项目建设用地的批复

来源:市自然资源和规划局 发布时间:2023-09-27 15:54 浏览次数: 字体: [ ] 打印

扫一扫在手机打开当前页
Baidu
map